Debate Script For Prime Minister

This debate format is mainly used in the asia news sherlock d and is also the basics of the world schools debate format.
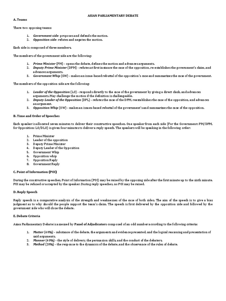
Debate script for prime minister. Before i put forward my case today i would like to define today s motion this house believes that. The opening prop speaker sometimes called prime minister has to define or interpret the motion. Debate speech template. Defines the motion states the case division split between the speakers produces his positive matter 2 to 3 arguments 1 sentence to state your position explain it further 2 major forms of support examples philosophical points quotes develop your arguments summarize this.
Prime minister pm define context and parameters of debate. The speakers speak in the following order. Finland s prime minister sanna marin has sparked controversy after wearing a stylish black blazer with a plunging neckline and no top underneath for a recent magazine photoshoot. Official website of the prime minister s office pmo of singapore.
Free music download and transfer. Prime minister leader of opposition deputy prime minister deputy leader of opposition government whip opposition whip. Provides info on the prime minister and the cabinet speeches and press releases. Go to the resource.
Page 1 of 5. For example in an open motion like this house would support musicians the debate could be contextualized into whether music should be a commodity for trade or it should be available gratis i e. Speaker attempting to redefine may not. Smart consumers 4 a smart future.
Example of debate speech speaker 1 government team prime minister good morning to the respected speaker cautious time keeper honorable judge members of the opposite team and members of the floor. Debate speech template. This template is part of 3 part student workbook aimed at teaching years 9 10 persuasive techniques in debating focusing on environmental and financial sustainability. Well thank you basil and thank you to all of those who have joined us tonight for this important debate we all agree that australia is the best country in the world but our future depends on a strong economy in the years ahead the decade we will live in.
To address this motion please allow me to start off by specifying my role and the role of my fellow members of the government. Next i will highlight some of the keywords and define the motion of today s debate. If this definition is unreasonable or irrelevant then the opening opposition speaker may challenge the definition. According to the longman dictionary of contemporary english means.
To find out more.